Rudolf Kaehr Dr.@
ThinkArt Lab Glasgow
Abstract
From signs to textems is sketching the basic constituents of an intertextual theory of texts, based on the concepts of bi-signs and textems.
Some remarks about the relationship between semiotics and Gunther’s place-valued logic in the 70s are added.
"The truth of a proposition is independent of how many people believe it to be correct.
The merits of a proposal are likewise not enhanced by the number of people supporting it or making similar proposals. Still, humans, like other pack animals, thrive on companionship.”
Willem Buiter, February 8, 2009 8:41pm , http://blogs.ft.com/maverecon/
If a sign or sign relation is defined as a composition of subsigns, which can be interpreted as morphisms, then a diamodization of such a sign concept is introducing the rejectional environment of a sign as part of the definition of a generalized sign, called bi-sign or textem.
Because texts are not linearly ordered sign systems but tabular ordered sign configurations, signs in texts are not anymore properly conceived as signs, they have to be understood as bi-signs, i.e. as signs with intrinsic and irreducible environments. Hence a text is a tabular composition, combination, i.e. configuration of bi-signs, i.e textems.
The emphasis on tabularity is not covering the structure or intertextuality of sign systems because independently of linear or tabular coordination of the signs in semiotics and semiology, non of the involved signs is defined by its environment, i.e. as a bi-object of sign and environment and therefore being enabled to be involved in the pre-semiotic play of textems.
As a not surprising consequence, sign systems, are blind for their own ressources and the environment of non-signs they are exploiting.
Some people need examples. Hence, the whole monetarian system, not to speak of the propaganda machinery which goes along with it, scientific or political, is based, fundamentally and irreducibly, on sign systems and its numbers. Numbers are codified as ciphers, digital or analog, and are nothing else than highly abstract signs. But what is a sign? What ever it might be, it is an abstract and atomically identifiable entity, which might be repeated indefinitely without any loss in its substance.
Within this allusion/illusion, no awareness about any secular transientness (weltliche Vergänglichkeit) is possible. Even the thoughts and calculations on transientness or momentariness are undertaken by non-transient, everlasting means, i.e. inside the cage of sign systems.
The following, more philosophical examples, might invite to excercise intertextuality between more or less untransable languages.
Die Ressourcen des Denkens
‘’Das Denken vollzieht sich im Medium des Zeichengebrauchs. Die Semiotik als formalisierte Theorie des rationalen Zeichengebrauchs kennt nur die abstrakte Verknüpfung (Konkatenation/Substitution) von vorgegebenen Zeichen eines (beliebigen, endlichen oder unendlichen) Zeichenrepertoires, das allerdings formal auf zwei Elemente (Atomzeichen und Leerzeichen) reduziert werden kann. Das Zeichen als Zeichengestalt trägt sich im Denken aufgrund der Trägerfunktion der Materialität des Zeichenereignisses. Die Differenz von Zeichengestalt und Zeichenvorkommnis kommt in der Semiotik selbst nicht zur Darstellung; sie ist ihre verdeckte Voraussetzung.
Die Zeichengestalt verbraucht sich nicht im Gebrauch ihres Ereignisses. Der Modus der Wiederholung des Zeichens ist abstrakt und gründet sich auf der Abwesenheit des Subjekts und der Annahme der Unendlichkeit der Ressourcen (Raum, Zeit, Materie).
Damit wird die Minimalbedingung semiotischer Rationalität erfüllt wie sie von logischen Formalismen, proprammiertechnischen Schreibsystemen und Inskriptionen in der Materialität gefordert wird: „truth is invariant under change of notation (Goguen).“
Das Sein zum Tode von Computersystemen
„Das mit dem Tod gemeinte Enden bedeutet kein Zu-Ende-sein des Daseins, sondern ein Sein zum Ende dieses Seienden.“ Martin Heidegger
"Die Informatik geht aus vom Ewigen Leben der Algorithmen und ihrer Zeichen und Regeln. Die Träume der Unsterblichkeit wie sie im heutigen Digitalismus der Forschungen und Spekulationen des Künstlichen Lebens erscheinen, sind konsequenter Ausdruck ihrer abstrakten semiotischen Verfasstheit.
„Der Tod ist eine Seinsmöglichkeit...“ heisst, dass das Sein von der Möglichkeit her gedacht wird. Möglichkeit heisst hier Er-Möglichung von Sein und Nichts. Das Ver_Enden ist nicht ein Attribut eines Seienden, sondern seine Ermöglichung."
Nachschriftliche Inskriptionen und die Ver_Endungen von Labyrinthen
‘’Der Alphabetismus findet in seiner letztlichen Digitalität und Linearität multimedial zu sich selbst und zu seinem Abschluß in der Objektivation seiner vermeintlichen Vernetzung. Im Wechselspiel von Ver-Schaltungen und Labyrinthen entgründen sich Hierarchien und Heterarchien zu Ver_Endungen von Kunst und Maschine als Inskriptionen zur Ermöglichung einer nach-schriftlichen Epoche des Welt-Spiels.‘’
Example, from: FT, P.J.O'Rourke: “The idea is that unlimited prosperity can be created by the unlimited expansion of credit.”
And Adam Smith:
“To attempt to increase the wealth of any country, either by introducing or by detaining in it an unnecessary quantity of gold and silver, is as absurd as it would be to attempt to increase the good cheer of private families, by obliging them to keep an unnecessary number of kitchen utensils.” The Wealth of Nations, Glasgow Edition of the Works of Adam Smith, Oxford University Press, 1976, p.440
In this study I will (probably) focus on the external environments of signs and their interactionality, interventionality and reflectionality to other signs and their environments only. This study has nothing to do with discourse and text analyses in the sense of multimedia and hypertexts of cultural and media studies.
Why signs anyway?
The pragmasphere and hypermedia are therefore a world of text and discourse, more than of data, information and signs. Federico Pellizzi, Dialogism, Intermediality and Digital Textuality
On the other front:
"On the other hand Roger Penrose (1989; 1994; 1996) has proposed that isolated quantum systems which avoid environmental decoherence will eventually reduce nonetheless due to an objective threshold ("objective reduction" - OR) related to an intrinsic feature of fundamental spacetime geometry (see below). Unlike the situation following environmental decoherence, outcome states which reduce due to Penrose's objective reduction are selected by a non-computable influence on the deterministic, pre-reduction quantum computation. Non computability implies a non-algorithmic process which is neither deterministic nor random, a property which Penrose (e.g. 1997) also attributes to conscious thought and understanding. This clue suggests that quantum computation with objective reduction may be somehow involved in consciousness.”
Stuart Hameroff, Quantum computation in brain microtubules? The Penrose-Hameroff "Orch OR" model of consciousness, 2009,
Recall, send by Ilan Kreitmann, Tel Aviv, Israel, thanks!
What I am writing, here and elsewhere, are not my thoughts set into signs and narratives but results of my experiments and experiences, even adventures, with some of my notational typesetting systems.
Text theory seems to be fundamental for any media and cultural theory.
But classical, modern and post-modern studies of intertextuality in general is restricted mainly to a semantic or pragmatic level, concerning the intertextuality of meaning as an interaction of different texts, discourses and stratagemes in translation, interpretation or reconstruction of what happened anyway.
Poetic, evocative, propagandistic and prophetic modi, transformed by post-scientific writing, are taboo to the enlightened elite.
The basic semiotic system of whatever color is presupposed by such highly propagandistic and delirious and post-technological SiFI-fantasy and are not by themselves involved into the interaction of intertextuality in general.
It is understood that there is no semiotic theory of sign systems which is reflecting inner and outer environments of basic signs as a constitutive part of the definition of signs.
The literate reader of postmodern education will know very well that he will fail to answer a single question about how his or hers pragmatistic, interactive, discourse driven, multimedial, deconstructivist, quantum-inspired dialogism (and much more) is working.
The laconism to write of/on signs and their paradoxical subversions is not generating jobs.
Therefore, a first step to a general theory of interactional semiotics on the base of the new concept of textems, i.e. bi-sign systems or anchored diamonds, consisting of the semiotic intra-kernel and the semiotic internal/external environments, and its interplay, is proposed.

"Kristeva’s coinage of “intertextuality” represents an attempt to synthesize Ferdinand de Saussure’s structuralist semiotics--his study of how signs derive their meaning within the structure of a text--with Bakhtin’s dialogism--his examination of the multiple meanings, or “heteroglossia,” in each text (especially novels) and word (Irwin, 228).
For Kristeva (69), “the notion of intertextuality replaces the notion of intersubjectivity” when we realize that meaning is not transferred directly from writer to reader but instead is mediated through, or filtered by, “codes” imparted to the writer and reader by other texts.” (WiKi)
"Some postmodern theorists like to talk about the relationship between "intertextuality" and "hypertextuality"; intertextuality makes each text a "mosaic of quotations" (Kristeva, 66) and part of a larger mosaic of texts, just as each hypertext can be a web of links and part of the whole World-Wide Web.” (WiKi)
Intra-textuality of textems is modeled by the intra-environmental structure of the acceptional aspects of diamond systems.
Trans-textuality of textems is modeled by the poly- and trans-contexturality of distributed textems.
Hypertextuality in the sense of Xanadu is modeled by the interplay of internal and external environments of textems. That is, links refer to the external environment and are connected with the internal environment of neighboring textems, and vice versa.
Because such conceptuality is missing, the whole Xanadu projects is lost in metaphors.
Ted Nelson’s Xanadu
"To Project Xanadu, that means enacting two types of connection: profuse and unbreakable *deep links* to embody the arbitrary connections that may be made by many authors throughout the world (content links); and *a system of visible, principled re-use*, showing the origins and context of quotations, excerpts and anthologized materials, and content transiting betwen versions (transclusions).
This may be simplified to: connections between things which are *different*, and connections between things which are *the same*. They must be implemented differently and orthogonally, in order that linked materials may be transcluded and vice versa. This double structure of abstracted literary connection -- *content links* and *transclusion* -- constitute xanalogical structure."
Transclusion
"Transclusion is what quotation, copying and cross-referencing merely attempt: they are ways that people have had to *imitate* transclusion, which is the true abstract relationship that paper cannot show. Transclusions are not copies and they are not instances, but *the same thing knowably and visibly in more than once place*. This is a simple point which is remarkably difficult to get across. While copies and cross-reference are workarounds in place of transclusion, aliases and caches are *forms* of transclusion."
Text is not simply text
Nelson always meant hypermedia when he said hypertext, it's one of the things that people get wrong about Nelson. They think that they've invented hypermedia and he only invented hypertext. He meant 'text' in the sense of corpus, not text in the sense of characters. I know this for a fact because we've talked about it many times (van Dam 1999, interview).
Hypertextuality in the sense of the Web and its WEB-0.X-mythology, is restrited to a unidirectional exchange of signs as data without environnments. Web links are not only uni-directional by definition but they have only two logical states: broken/unbroken.
It would by great to have a more dynamic bi-directional Web connectivity in the sense of transclusions (Ted Nelson). But Xanadu links are postulated as UNBREAKABLE. Does it matter if they are one- or two-way links if they are not qualified to perish? http://www.xanadu.com/xuTheModel/
"Long ago we considered on-line documents. One of the first questions we asked was: "How can computers improve on paper documents?" Our principal answer: "By keeping every quotation connected to its source." We still believe this. However, those who created today's computer world didn't get that documents should be different now. They imitated paper. We see this as retrograde, like the buggy-whip sockets on the early horseless carriates.” (Ted Nelson) http://www.xanadu.com.au/transquoter/
Perishing links are neither breakable nor unbreakable, they are enabling such differences, uni- and pluri-directional. Textems with their environments and chiastic interactions are enabeling links to perish, to be, as reductions, ordinary links, which might be broken/unbroken or even unbreakable.
Nevertheless, actions in textems and between textems are not links but interactions able of interactionality, reflectionality and interventionality. Hence, they have their life.
In other words, the Web is not Xanadu, but an XML document manipulation service in a hierarchical and not a heterarchical or chiastic order. The rest should be well known.

Semiotics (Peirce, Bense, Toth) is fundamentally mono-contextural and it is blind for its monocontexturality, i.e. the uniqueness property, 1, is not part of the definition of semiotics.
Plurality and diversity enters the game by application of the singular and unique conceptual framework, only. There is no self-reference accessible, which could transform such mono-contextural uniqueness of the idea or concept of semiotics into its difference.
This is true in an even more radical sense for semiotics as the theory of sign-occurrences (formal systems), i.e. marks, tokens or syntactical elements, as it is used in foundational studies of mathematical logic (Tarski, Hermes, Schröter) and computer science or mathematical linguistics.
![]()
![]()

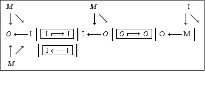
Depending on the sign scheme, the environment of the object-domain O, or the medium M or the interpretant I, is constructed by diamondization.

Different simultaneous environments are accessible only within the composition of signs. This is a kind of a “serial” order of environments. Or by a polycontextural construction with a simultaneous multitude of signs based on different environmental decisions. A kind of parallelism of environments, similar or different.
This combination of signs by a sign/environment chiasm is not covered by any other types of semiotic composition or combinations. It is different too from the case of diamond compositions, their morphisms and saltisitions. Saltisitions (hetero-morphisms) are combined by jump-operations, which are complementary to composition rules of morphisms. On that level, they are not involved into a chiasm between sign and environment, i.e. morphism and hetero-morphism.
There are other chiasms to observe in semiotics as Toth has shown in extendo.
Anchord diamonds are anchoring both, the sign system and its environment.
![bi - sign, isolated <br /> M ... bsp; [1, 1]](../../../pkl/media/Textems/HTMLFiles/Textems-style_9.gif)
Composition of sign/environment relations

A textem consist of two diamondized anchord signs, i.e. bi-signs, inter-playing together by their mediated external environments. Hence, a textem is an interplay of two bi-signs. A bi-sign is a diamondized anchord sign, i.e. a sign with intrinsic environments and its anchor.
This is a kind of botton up introduction. Because we know signs and have not yet experienced textems, this way of building up textems is legitimate. But nevertheless, it works only because we know how to construct textems out of signs which are not able to offer any of the principles of textems, which are needed to realize such a constructioonn, like their chiastic interplay between the environments of signs, the environments of signs and the anchoring of signs..
As we no well enough, signs lack environments, there is no chance to construct out of signs inn sign-theoretical sense a semiotic environment of the sign conception. And obviously, there is no such mechanism as a chiasm in the sense of proemiality for signs. Hence, neither environments, internal and external, nor interactions between signs based on their environments are conceivable.
Therefore, as a consequence, there is no such thing as a reduction mechanism for textems, which is reducing without loss, textems to signs.
On the other hand, after the intuition of textems is introduced, formalized and implemented, reductions are naturally available.
Hence:
A textem is reducible to its interacting bi-signs by excluding its chiastic interactivity.
A semiotic diamond is a bi-sign, de-rooted from its anchor,.
A single bi-sign is disconnected from its neighbor bi-sign, hence it is a bi-sign without interaction but realizing an anchored semiotic diamond with its isolated, and hence restricted, environment.
A sign is a semiotic diamond, depraved from its environment.
![T extem scheme, concurrent <br /> bi - sign _ 1 ... nbsp; [ 2, 2 ]](../../../pkl/media/Textems/HTMLFiles/Textems-style_12.gif)

![T extem scheme, concurrent <br /> bi - sign _ 1 ... bsp; [ 2, 2 ] <br />](../../../pkl/media/Textems/HTMLFiles/Textems-style_14.gif)
![T extem scheme , paralax <br /> bi - sign _ 1 ... bsp; [ 2, 2 ]](../../../pkl/media/Textems/HTMLFiles/Textems-style_15.gif)
Chiastic textem:
My environment for the other; the others environment for me. Both environments together as the intrinsic interplay of a textem.
![T extem scheme , chiasm <br /> bi - sign _ 1 ... bsp; [ 2, 1 ] <br />](../../../pkl/media/Textems/HTMLFiles/Textems-style_16.gif)


![<br /> bi - sign = [[[1, 2, 3] ; 4] : [5, 6]] , <br /> bi - sign = [[[1, 2, 3] ; 4] : [1, 1] ... [[[1, 2, 3], 4], [1, 1]], <br /> [[[[1, 2,], [3, 4]], [1, 1]]], <br /> [[[1, 2, 3, 4], [1, 1]]] .](../../../pkl/media/Textems/HTMLFiles/Textems-style_19.gif)
![FormBox[RowBox[{<br />, , RowBox[{RowBox[{RowBox[{Bracket, , RowBox[{versions, :, <br />, Cel ... 5 ; 6 > || < 5 ; 6 >]](../../../pkl/media/Textems/HTMLFiles/Textems-style_20.gif)
![Interpretations textem = [sign || sign ; env || env : anchor || anchor] textem = [signs ; envi ... <br /> textem = [objects ; environments : anchors] textem = [morphisms ; environments : anchors]](../../../pkl/media/Textems/HTMLFiles/Textems-style_21.gif)


Where is the fear of emptiness and voids in the Occident from? And where from are the sources of speculations over the abym of the void ?


Depending on the structure of the common environments, actions like reflection, interaction and intervention are supported for interplaying textems.
Reflection: Bidirectional environments are offering minimal requisites for mutual reflection .
Interaction: Mutual autonomy of different environments are enabling interaction.
Intervention: Different antidromic environments offer the possibility of intervention between the different environmental systems.
The bilateral interaction between the two isomorphic environments is a new topic added to the unilateral environment of diamonds.
![]()
In this case
, both actors are agreeing to accept a common environment.
![]()
In this case
, both actors agree in the autonomy and simultaneity of their environments, which are accepted as their common environment.
![(3) : Overscript[I _ ω, ~] <-- Overscript[I _ α, ~]/Overscript[M _ ω, ~] <-- Overscript[M _ α, ~]](../../../pkl/media/Textems/HTMLFiles/Textems-style_30.gif)
In this case
, two different environments are accepted as the common environment. A further task would be to analyze their intra-environmental structure of cooperation.
![(4) : Overscript[I _ ω, ~] <-- Overscript[I _ α, ~]/Overscript[M _ ω, ~] --> Overscript[M _ α, ~]](../../../pkl/media/Textems/HTMLFiles/Textems-style_32.gif)
In this case
, two different and antidromic environments are accepted as the common environment of the textem.
Polycontextural textems are introduced, in analogy to polycontextural formal systems, logics and arithmetics, as disseminated, i.e. distributed over kenomic loci and mediated by chiastic principles.
What follows is not more than a very first approach, especially concerning the typesetting possibilities of the used program.



Such a modeling of a 4-contextural semiotics as a mediation of distributed 3-contextural semiotics, and its generalization, is not possible within the paradigm of classical semiotics and logic because it surpasses its principle of irreflexive identity of its objects and morphisms, i.e. an object O can't be at once a medium M, like for O
Reflexive identity is required, a mechanism I’m calling for strategic reasons since years the ‘as-abstraction’ in contrast to the ‘is-abstraction'.
This is not in contradiction to the possibility of composing complex configurations with triadic sign relations, as Toth has extensively shown. But, by definition, this is not a construction of a tetradic or higher order semiotics but a complication (composition) of triadic semiotics.
Toth’s example and its representation in a formalism.
![FrameBox[Cell[GraphicsData[Bitmap, CF5dJ6E]HGAYHf4PAg9QL6QYHg<PAVmbKF5d0`4000310000Tb000`40 ... {0., 0.}, {0., 0.}}, ImageRegion -> {{0., 1.}, {0., 1.}}], BoxMargins -> {{0.2, 0.2}, {0.4, 0.4}}]](../../../pkl/media/Textems/HTMLFiles/Textems-style_38.gif)

Conceptually, all the stuff about a polycontextural semiotics goes back to the 70s and is well enough documented in my manuscripts, which are, at the time, somewhere, inaccessible, in a box in Glasgow.
It is very easy to produce polycontextural semiotics if we have an idea clear enough about how polycontexturality, e.g. polycontextural logic (polylogic) is working.
This wasn't clear at all in the 70s, therefore, I stopped my project. Unfortunately, nobody solved the problem, probably because nobody was aware about it. To be fair, I have to mention, that also nobody who was intimately initiated to the problem, like Henz von Foerster, and surely, Gotthard Gunther, has revealed it. No whistle-blower, except of me. But for me, it was a scientific question and not part of propaganda and ignorance.
Without doubt, I have solved the problem long ago, and nothing is getting in the way of it. Except of a serious lack of motivation; and so on.
Found in the bin
On one of the very few paper slips I have found recently in the bin, I read the sentence, from 1978:
"Eine Formalisierung der (MOI)-Semiotik koinzidiert mit der (IDE)-Logik."
This wasn’t my main interest, because, the next sentence is:
Der Unter-Schied, die Differance, das Proömium der Semiotik ist R/(OMI), also die pré-face von Relator R and Relatum (OMI).
Hence, a formalization of the Peirce/Bense-semiotics, which is triadic-trichotomic, needs a corresponding logic to be modeled adequately. As far, everything was very clear for me at that time, albeit not for Bense&Co.
Without surprise, it also didn’t work the other way round! The Stuttgarter claimed a kind of an isomorphism between their semiotics and Gunther’s place-valued logic, for m=3 (Bense, et al). This might be correct but it is identical with the proposition that semiotics neither solved Gunther’s hidden problem of decomposability of 3-valued ternary functions into a composition of ternary and binary 2-valued functions.
The whole mathematical analyzis of the problem of decompositions and its negative results was published at the BCL, Urbana by Gunther, von Foerster and Ms. Na as her dissertation in 1964!
Na, H.S.H., Foerster, H.v., G¨unther, G.: On structural analysis of many valued logic. Department of Electrical Engineering, University of Illinois, 1964.
Parts of it had been reconstructed, formalized and implemented in ML by Mahler/Kaher 1992, pp. 149-178, and application to logic: 179-192. The decomposition problem and my resolution idea is on page 185. The final extensive results had not been published, they are accessible, in handwritten form, from my “Yellow Pages”.
As a reaction to the negative results in 1962, Gunther started to overcome the whole logical value aspect and introduced his morphograms and kenograms.
But this didn’t change anything for his logic project.
The real obstacle had not been the values but the presumption that the values are values of a mathematical total function. But toal functions can be considered as combinations of partial functions and Gunther’ s logical function are all definable by commpositions of partial functions. And the composition function itself is not producing new problems. Only a very small set of Gunther’s logical functions are coinciding with totall functions. That’s all!
"Wie Na zeigt [Na64], existieren für Junktoren mit n > 2 Variablen und m > 2 Werten stets Wahrheitswertkombinationen (Positionen), die sich nicht den Subsystemjunktoren zuordnen lassen.
Zur Lösung dieses Problems schlägt Kaehr vor, einen Stellenwertjunktor nicht über allen kombinatorisch möglichen mn Positionen zu definieren, sondern nur über den Positionen, die lediglich zwei verschiedene Eingabewerte über den n Variablen verteilen.
Durch eine solche Einschränkung läßt sich das Prinzip der Zerlegbarkeit der globalen Junktoren in Subjunktoren bewahren, ohne die Funktionalität der Subsysteme zu beschneiden.” Mahler/Kaehr, p. 185/86
What do we learn? Empty speculations, Bad Banks, everywhere!
A semiotic transjuctional algebra,
with
1. a 3-contextural Boolean algebra for semiotics
as a critical remark to the Bense/Berger approach, which is not working properly, I read my old remark:
D.h. Boolesche Algebra “angewandt” auf Zeichenklassen, d.h. wieder Herrschaft der Logik und Linguistik über die Semiotik.
2. Transjunctions
⊽(i,j) = ![]()
(3.1 2.1 1.3) ⊽ (3.2 2.2 1.2) = (3.3 2.3 1.1).
3. monoform and polyform operations
mono-contextural: ZK![]()
={ ∩, ∪}
3-contextural: ![]()
![]()
with
(3.i1 2.J![]()
(3.i2 2.J![]()
Example
(3.1 2.1 1.3) ∪∩∪ (3.2 2.2 1.2) = (3.1 2.2 1.2)
4. Negations
![]()
![Semiotics _ {∩ , ∪ , ⊽ , [[, ]], neg} Overscript[==>, logific ... tion] Logic _ {∧ , ∨ , ◆, <== , ==> , ¬} <br />](../../../pkl/media/Textems/HTMLFiles/Textems-style_50.gif)
"The pragmasphere and hypermedia are therefore a world of text and discourse, more than of data, information and signs. They are places of social bargaining and semiotic experimentation in which, thanks to the factors that have been examined, a configuration that respects otherness (even in terms of the preservation of the historical dimension) is possible - although it is neither easy nor obvious.
The meta-discursive character of the digital enables us to construct a model of interaction that facilitates both the construction of texts and rendering them fluid. It is a model that forces many of our categories, starting from the notions of writing and text, and broadens our idea of context: not only because of the power of multimedia simulation, which extends the boundaries of the potential to represent (we need only think of Bakhtin’s important concepts of tone, in-tonation and voice which have become central for contemporary linguistics too thanks to the digital); but also because of the self-declaratory nature of the digital world: for instance the rule that prescribes declaring the coding criteria of a digital document.”
Bakhtin
"Every act and every text, in their unfinalizability (nezaveršennost’) are a meeting point and a point of contrast between different levels of consciousness, between different points of view on the world, between different semantic positions.
An act cannot be understood unless it is textualized to a certain degree, and a text cannot be understood except in its active life, in its dialogic context. For Bakhtin, therefore, one must avoid reducing or eliminating both the social interdiscursivity of an act/text and its unrepeatable uniqueness and individuality [Bakhtin 1986: 108]."
FEDERICO PELLIZZI, Dialogism, Intermediality and Digital Textuality
iasl.uni-muenchen.de/discuss/lisforen/pellizzi_dialogism.pdf
The eloquence of the Scottish bankers isn’t too bad neither; they said SORRY, SORRY, SORRY, SORRY, BUT.
And yes, they are entitled to do so: Scientists discovered the “speculation gene”! No joke!
Genetic Determinants of Financial Risk Taking
"Individuals vary in their willingness to take financial risks. Here we show that variants of two genes that regulate dopamine and serotonin neurotransmission and have been previously linked to emotional behavior, anxiety and addiction (5-HTTLPR and DRD4) are significant determinants of risk taking in investment decisions. We find that the 5-HTTLPR s/s allele carriers take 28% less risk than those carrying the s/l or l/l alleles of the gene. DRD4 7-repeat allele carriers take 25% more risk than individuals without the 7-repeat allele. These findings contribute to the emerging literature on the genetic determinants of economic behavior.”
Kuhnen CM, Chiao JY (2009) Genetic Determinants of Financial Risk Taking. PLoS ONE 4(2): e4362. doi:10.1371/journal.pone.0004362
http://www.plosone.org/article/info:doi/10.1371/journal.pone.0004362
ALAS, it’s a shame! Everybody knows the risk promoting stimulus of the white stuff and the amount of it in the pipes of Wall Street and research labs. (WiKi)